Laminátky, žehličky i brejlovci. ČD Cargo prodává dalších 57 lokomotiv

Laminátky původně plánoval dopravce zachovat pro expanzi na Balkán.
Poslední necelé dva dny mají zájemci o desítky let staré lokomotivy, které už největší tuzemský nákladní dopravce ČD Cargo kvůli poklesu přeprav i přechodu na novější hnací vozidla nepotřebuje.
Do 25. listopadu mohou zájemci projevit zájem o celkem 56 lokomotiv různých řad, až do 2. prosince pak o jedinou lokomotivu 731.059 prodávanou zvlášť.
ČD Cargo lokomotivy prodává ve dvou souborech, u obou je termín podání nabídek v úterý. Firma pokračuje v rozprodeji nepotřebného majetku. Pokud pro lokomotivy nenajde kupce, pošle je ke šrotaci.
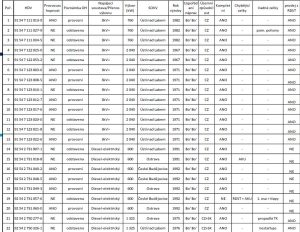
Aktuálně největší část k prodeji tvoří lokomotivy řady 230 přezdívané laminátky. V nabídce jich je celkem 34, většina z nich je provozuschopná. Laminátky měl dopravce původně použít pro expanzi na Balkán na tratě, kde není potřeba ETCS, nyní zjevně plán padl.
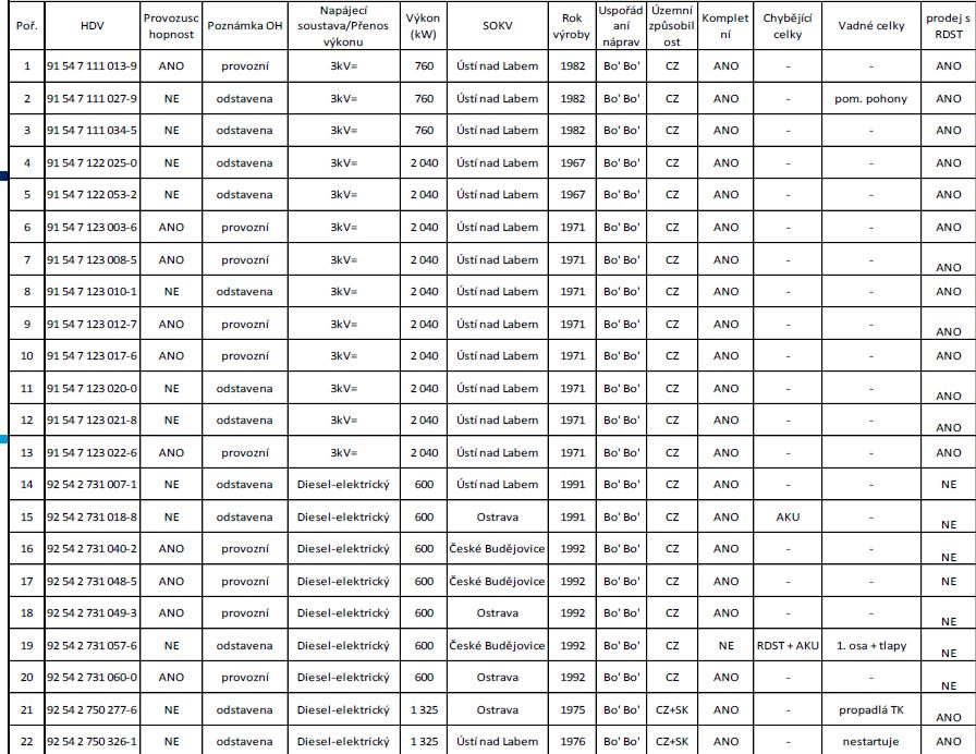
Na seznamu prodávaných lokomotiv jsou pak také elektrické lokomotivy řad 123 a 122, k mání jsou také tři „žehličky“, jak se přezdívá lokomotivám řady 111. Motorovou trakci zastupují hlavně lokomotivy řady 731, k prodeji jsou také brejlovci řady 750, které nejsou ale v provozuschopném stavu.
Detaily k prodeji jsou na profilu zadavatele. Pro lokomotivy řady 230 zde, pro ostatní hnací vozidla zde. Samostatně běží ještě prodej lokomotivy 731.059.
Lokomotivy se mohou prodávat jednotlivě, ČD Cargo zatím neuvádí odhadované ceny. Pokud o vozidlo projeví někdo zájem, nechá dopravce zpracovat znalecký posudek a proběhne aukce.
ČD Cargo se nepotřebných lokomotiv zbavuje hromadně několik let, bojuje s poklesem přeprav podobně jako jiní dopravci. Aktuální podnikatelský plán na příští rok podle Odborového sdružení železničářů počítá s 44 miliony přepravených tun.




